A medián kiszámítása az egyik leggyakoribb statisztikai művelet, amely segít megérteni egy adathalmaz középső értékét. A medián megmutatja, hol helyezkedik el az „átlagos” adat egy sorozatban – de nem az átlag (átlagérték) szinonimája! Ha szeretnéd pontosan tudni, mit jelent, mikor érdemes használni, és hogyan számolod ki, olvass tovább.
Mi a medián fogalma?
A medián az a szám, amely egy rendezett adathalmaz középen helyezkedik el.
Más szóval: a medián ellenáll a szélsőséges értékeknek, ezért sokkal „stabilabb” mutató, mint az átlag.
Mikor használd inkább a mediánt, mint az átlagot?
A medián kiszámítása különösen hasznos, ha az adatok nem szimmetrikusak vagy szélsőséges értékeket tartalmaznak.
Például:
A medián kiszámítása lépésről lépésre
1. Rendezés növekvő sorrendbe
Írd az adatokat növekvő sorrendbe – ez mindig az első lépés.
2. Állapítsd meg, hány adat van (n)
Számold meg, hány elem van az adathalmazban.
3. Ha páratlan számú adat van
A medián az (n + 1) / 2. helyen álló elem.
Példa:
Adatok: 3, 5, 8, 9, 12
Rendezve: 3, 5, 8, 9, 12
Elemek száma n = 5
Medián helye: (5 + 1) / 2 = 3. elem → 8
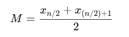
4. Ha páros számú adat van
A medián a két középső elem átlaga, azaz:

Példa:
Adatok: 2, 4, 6, 10
Rendezve: 2, 4, 6, 10
n = 4
Középső elemek: 4 és 6
Medián = (4 + 6) / 2 = 5
Gyakorlati példák
Példa 1 – Jövedelmek
Egy cég dolgozóinak havi fizetései (ezer Ft-ban):
320, 350, 370, 380, 395, 410, 1100
Rendezve: 320, 350, 370, 380, 395, 410, 1100
n = 7 → páratlan
Medián = 4. elem = 380 ezer Ft
Miért nem az átlag?
Az átlag (460 ezer Ft) magasabb, mert az 1,1 milliós fizetés felfelé húzza – a medián viszont reálisan mutatja az „átlagos” dolgozót.
Példa 2 – Osztály dolgozatátlagok
Pontszámok: 40, 60, 60, 70, 75, 85, 90, 100
Rendezve: 40, 60, 60, 70, 75, 85, 90, 100
n = 8 → páros
Medián = (70 + 75) / 2 = 72,5 pont
A medián kiszámítása Excelben
Excelben (vagy Google Táblázatban) használd a beépített függvényt:
=MEDIÁN(A1:A10)
Ez automatikusan rendezi és kiszámolja a mediánt az adott cellatartományból.
Ha több adatot elemzel (pl. havi értékek), a medián sokkal pontosabban mutatja a tipikus értéket, mint az átlag.
Medián, átlag és módusz összehasonlítása
| Mutató | Mit mutat? | Mikor használd? | Érzékeny a szélsőértékekre? |
|---|---|---|---|
| Átlag | Összes érték összege / elemszám | Szimmetrikus eloszlásnál | Igen |
| Medián | Középső érték | Ha szélsőséges adatok vannak | Nem |
| Módusz | Leggyakoribb érték | Diszkrét adatoknál | Nem |
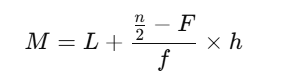
Medián kiszámítása csoportosított adatoknál (haladó)
Ha az adatok intervallumokba vannak osztva (pl. gyakorisági táblázat), a mediánt közelítéssel számítjuk:

ahol:
Ez a képlet statisztikai táblázatoknál (pl. jövedelem-eloszlás) használatos.
Gyakori hibák a medián kiszámításakor
Zárszó
A medián kiszámítása egyszerű, mégis rendkívül hasznos módszer az adatok középső értékének meghatározására.
Lépések röviden:
A medián jobban tükrözi az adatok valódi „közepét” ott, ahol az átlag torzítana – például bérek, ingatlanárak, vizsgaeredmények esetén.
