penzugyekokosan.hu
  • Kezdőlap
  • Pénz
    PénzMutass többet
    A GNI jelentése közérthetően
    A GNI jelentése: mit mutat meg egy ország valódi jövedelméről?
    2025-11-20
    A GDP jelentése közérthetően
    A GDP jelentése közérthetően mindenki számára
    2025-11-20
    A defláció jelentése érthetően
    A defláció jelentése: Tudod hogyan befolyásolja a gazdaságot?
    2025-11-20
    Az infláció fogalma érthetően
    Az infláció fogalma: érthetően és szakmai alapossággal
    2025-11-19
    A leggyakoribb pénzügyi fogalmak érthetően
    2025-11-19
  • Üzlet
    ÜzletMutass többet
    Az üzleti kommunikáció lényege egyszerűen
    Üzleti kommunikáció: a modern vállalkozások láthatatlan motorja
    2025-11-16
    A kereslet kínálat kapcsolata egyszerűen
    Kereslet kínálat – a piac láthatatlan keze, ami mindent mozgat
    2025-11-12
    A piacgazdaság fogalma egyszerűen
    A piacgazdaság fogalma – a modern gazdaság motorja, amit mindenkinek érdemes megérteni
    2025-11-12
    A mikrovállalkozás fogalma érthetően
    Mikrovállalkozás fogalma – a kisvállalkozások legkisebb, de legfontosabb szereplői
    2025-11-11
    A manufaktúra fogalma egyszerűen
    Manufaktúra fogalma – az ipari forradalom előfutára
    2025-11-11
  • Részvénypiac
    RészvénypiacMutass többet
    ETF jelentése közérthetően
    ETF jelentése – mi az ETF, és miért az egyik legnépszerűbb befektetés?
    2025-12-18
    Brókercég jelentése érthetően
    Brókercég jelentése – mit csinál valójában egy bróker, és miért van rá szükséged?
    2025-12-18
    OTP Global Markets bemutatása
    OTP Global Markets bemutatása: professzionális befektetési szolgáltatások intézményi és privát ügyfeleknek
    2025-12-17
    XTB adózás lépésről lépésre
    XTB adózás lépésről lépésre: hogyan adózz a nyereség után?
    2025-12-15
    XTB bemutatása: megbízható európai bróker
    XTB bemutatása: megbízható európai bróker modern befektetőknek
    2025-12-15
  • Bank
    BankMutass többet
    A pénzügyi tranzakciós illeték hatása
    A pénzügyi tranzakciós illeték lényege egyszerűen
    2025-11-19
    A bank fogalma egyszerűen
    A bank fogalma – a pénzügyi rendszer alapköve
    2025-10-28
    Tartós befektetési számla (TBSZ) jelentése
    Tartós befektetési számla: okos megoldás a hosszú távú megtakarításra
    2025-09-18
    A SWOT elemzés lényege egyszerűen!
    SWOT elemzés: könnyebb döntések az üzletben és az életben!
    2025-11-07
    Mi a banktitok? Ismerd meg, milyen adatokat véd a banktitok
    Mi a banktitok? – Minden, amit tudnod érdemes
    2025-08-23
  • Életstílus
    ÉletstílusMutass többet
    A fogyasztói árindex jelentése érthetően
    A fogyasztói árindex jelentése – egyszerű magyarázat
    2025-11-19
    Ismerd meg, hogyan segít a pénzügyi tudatosság
    Pénzügyi tudatosság: a stabil és szabad jövő alapja
    2025-11-18
    Pénzügyi tervezés tudatosan
    Pénzügyi tervezés: hogyan építs stabil, mégis rugalmas jövőt?
    2025-11-16
    A medián fogalma és kiszámítása
    Medián fogalma – az egyik legfontosabb statisztikai mutató érthetően
    2025-11-15
    A globalizáció fogalma érthetően
    Globalizáció fogalma – a világ összekapcsolódásának folyamata érthetően
    2025-11-15
  • Önfejlesztés
    • Önfejlesztő könyvek
    • Üzleti könyvek
    • Pénzügyi könyvek
    • Üzleti filmek és sorozatok
Betűméret átméretezőAa
penzugyekokosan.hupenzugyekokosan.hu
  • Pénz
  • Üzlet
  • Bank
  • Életstílus
  • Önfejlesztés
Keresés
  • Témák
    • Pénz
    • Üzlet
    • Részvénypiac
    • Bank
    • Életstílus
    • Önfejlesztés
    • Támogatói tartalom
  • Oldalak
    • Kezdőlap
    • Kapcsolat
    • Hirdess velünk
    • Rólunk
    • Adatkezelési tájékoztató
    • Cookie tájékoztató

Trending →

Autó vagy tömegközlekedés? Így derül ki, melyik mennyibe kerül havonta

Közzétette: info@penzugyekokosan.hu 2026-01-24

ETF jelentése – mi az ETF, és miért az egyik legnépszerűbb befektetés?

Közzétette: Mile Norbert 2025-12-18

Brókercég jelentése – mit csinál valójában egy bróker, és miért van rá szükséged?

Közzétette: Mile Norbert 2025-12-18

OTP Global Markets bemutatása: professzionális befektetési szolgáltatások intézményi és privát ügyfeleknek

Közzétette: Mile Norbert 2025-12-17

XTB adózás lépésről lépésre: hogyan adózz a nyereség után?

Közzétette: info@penzugyekokosan.hu 2025-12-15
PenzugyekOkosann.hu © 2025 – Minden jog fenntartva!
Életstílus

A módusz kiszámítása – a leggyakoribb érték meghatározása egyszerűen

2025-10-17 4 perc olvasási idő
Tudd meg, hogyan történik a módusz kiszámítása példákkal

A módusz kiszámítása a statisztika egyik legegyszerűbb, mégis gyakran félreértett művelete. A módusz azt mutatja meg, melyik érték fordul elő leggyakrabban egy adathalmazban. Nem átlagról, nem középről, hanem gyakoriságról van szó – ezért különösen hasznos, ha szeretnéd megtudni, mi a legjellemzőbb adat egy csoportban.

Tartalom
Mi az a módusz?Mikor érdemes a móduszt használni?A módusz kiszámítása lépésről lépésre1. Gyűjtsd össze az adatokat2. Csoportosítsd, és számold meg, melyik hányszor fordul elő3. A legnagyobb gyakorisághoz tartozó érték a móduszKülönleges esetekA módusz kiszámítása ExcelbenCsoportosított adatok eseténMódusz, medián és átlag összehasonlításaGyakorlati példák1. példa – Iskolai jegyek2. példa – Cipőméretek3. példa – Többmóduszú eloszlásÖsszefoglalás

Ebben a cikkben megmutatom, mit jelent pontosan a módusz, hogyan számítható ki kézzel, táblázatból vagy Excelben, és mikor érdemes használni az átlag, medián helyett (vagy mellett).

Mi az a módusz?

A módusz (jelölése: Mo) az az érték, amely legtöbbször előfordul az adathalmazban.
Más szóval: ha egy adat többször szerepel, mint a többi, akkor ő lesz a módusz.

Példa:
Adatsor: 4, 5, 5, 7, 8, 8, 8, 9
→ A módusz = 8, mert az fordul elő legtöbbször (háromszor).

Ha minden érték egyszer szerepel, nincs módusz.
Ha több érték azonos gyakorisággal szerepel, akkor többmóduszú (bimodális vagy multimodális) az adatsor.

Mikor érdemes a móduszt használni?

A módusz kiszámítása különösen hasznos, ha kategóriás vagy diszkrét adatokkal dolgozol – például:

  • a leggyakoribb ruhaméret (pl. „M”)
  • a leggyakoribb korosztály
  • a leggyakrabban előforduló értékelés (pl. iskolai osztályzat)
  • a legnépszerűbb termék, szín, márka stb.

Nem érzékeny a szélsőséges értékekre, ezért jól használható torz eloszlások esetén is.

A módusz kiszámítása lépésről lépésre

1. Gyűjtsd össze az adatokat

Például: 2, 3, 3, 5, 5, 5, 7, 8, 8

2. Csoportosítsd, és számold meg, melyik hányszor fordul elő

ÉrtékGyakoriság
21
32
53
71
82

3. A legnagyobb gyakorisághoz tartozó érték a módusz

Itt: 5, mert háromszor fordul elő.
👉 Módusz = 5

Különleges esetek

  • Nincs módusz: ha minden érték egyszer fordul elő (pl. 1, 2, 3, 4, 5).
  • Többmóduszú eloszlás: ha két vagy több érték ugyanannyiszor fordul elő a legtöbbször.

Példa:
Adatsor: 3, 3, 4, 4, 5, 6
→ Két módusz van: 3 és 4 → az adatsor bimodális.

A módusz kiszámítása Excelben

Az Excel és a Google Táblázatok is ismerik a módusz függvényt.

Alapfüggvény:

=MÓDUSZ.EGY(A1:A10)

– az első leggyakoribb értéket adja vissza.

Ha több módusz is van, használhatod:

=MÓDUSZ.TÖBB(A1:A10)

– többértékű tömböt ad vissza (ha több azonos gyakoriságú adat van).

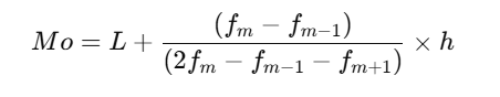
Csoportosított adatok esetén

Ha az adatokat osztályokba (intervallumokba) rendezted, a módusz közelítő képlete a következő:

ahol:

  • L – a móduszosztály alsó határa
  • fₘ – a móduszosztály gyakorisága
  • fₘ₋₁ – az előző osztály gyakorisága
  • fₘ₊₁ – a következő osztály gyakorisága
  • h – osztályszélesség

Ez a képlet a statisztikai elemzésekben (pl. demográfiai, piackutatási adatoknál) használatos, ahol az adatok intervallumokra vannak bontva.

Módusz, medián és átlag összehasonlítása

MutatóJelentéseMikor használjukSzélsőséges értékekre érzékeny?
ÁtlagÖsszes érték átlagaSzimmetrikus eloszlásnálIgen
MediánKözépső értékTorz eloszlásnálNem
MóduszLeggyakoribb értékKategóriás, diszkrét adatoknálNem

Gyakorlati példák

1. példa – Iskolai jegyek

Jegyek: 2, 3, 3, 4, 4, 4, 5
→ A legtöbbször a 4-es szerepel → Módusz = 4

2. példa – Cipőméretek

Méretadatok: 39, 40, 40, 41, 41, 41, 42
→ A 41-es méret a leggyakoribb → Módusz = 41

3. példa – Többmóduszú eloszlás

Adatsor: 1, 2, 2, 3, 3, 4
→ Két leggyakoribb érték: 2 és 3 → Bimodális adatsor.

Összefoglalás

A módusz kiszámítása a legegyszerűbb módja annak, hogy megtudd, mi a leggyakrabban előforduló érték az adataidban.
Nem igényel bonyolult képleteket, csak gyakoriság-számlálást.
Ha több adat azonos gyakorisággal szerepel, a sorozat lehet többmóduszú is.

Egy jól kiválasztott statisztikai mutató – akár az átlag, medián, akár a módusz – segít abban, hogy pontosabb képet kapj a vizsgált adathalmazról.

Ad imageAd image
Címkék: módusz kiszámítása
Oszd meg ezt a cikket
Facebook Twitter LinkedIn Link másolása
Szólj hozzá

Vélemény, hozzászólás? Válasz megszakítása

Az e-mail címet nem tesszük közzé. A kötelező mezőket * karakterrel jelöltük

Ezek is érdekelhetnek ↷

A fogyasztói árindex jelentése érthetően

A fogyasztói árindex jelentése – egyszerű magyarázat

2025-11-19
Ismerd meg, hogyan segít a pénzügyi tudatosság

Pénzügyi tudatosság: a stabil és szabad jövő alapja

2025-11-18
Pénzügyi tervezés tudatosan

Pénzügyi tervezés: hogyan építs stabil, mégis rugalmas jövőt?

2025-11-16
A medián fogalma és kiszámítása

Medián fogalma – az egyik legfontosabb statisztikai mutató érthetően

2025-11-15
  • Kezdőlap
  • Támogatói tartalom
  • Hirdess velünk
  • Kapcsolat
  • Rólunk
  • Cookie tájékoztató
  • Adatkezelési tájékoztató

A penzugyekokosan.hu olyan online tudásbázis, ahol közérthető formában ismerheted meg a pénzügyek és az üzleti világ alapjait. Cikkeink segítenek eligazodni a pénz tudatos kezelésében, bemutatjuk a legfontosabb banki termékeket, és praktikus tanácsokat adunk az üzleti döntésekhez. Ha érdekel a tudatos életmód és szeretnél pénzügyileg is kiegyensúlyozottabban élni, az életstílus rovatunkban hasznos tippeket találsz.

Oldalunk kiemelt figyelmet fordít az önfejlesztés témájára, ahol motiváló tartalmakkal segítünk személyes és anyagi céljaid elérésében. Ha szívesen olvasol, érdemes megnézned az általunk ajánlott önfejlesztő könyvek, üzleti könyvek és pénzügyi könyvek kínálatát is, amelyekből gyakorlati tudást meríthetsz. Emellett, ha inspirációt keresel, válogass a legjobb üzleti filmek és sorozatok között, amelyek valós példákon keresztül mutatják be a siker, pénz és hatalom világát. Tanulj velünk, hozd ki a legtöbbet a pénzedből, és építs tudatos jövőt!

penzugyekokosan.hu
  • Pénz
  • Üzlet
  • Bank
  • Életstílus
  • Önfejlesztés
  • Önfejlesztő könyvek
  • Üzleti könyvek
  • Pénzügyi könyvek
  • Üzleti filmek és sorozatok

PenzugyekOkosann.hu © 2025 – Minden jog fenntartva!